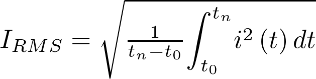
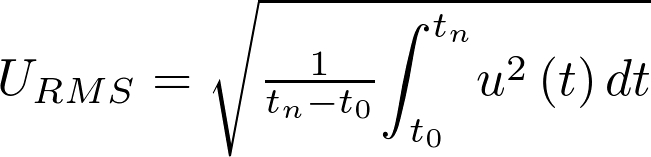
RMS (Root Mean Square)