e.g. StdDev('Expression')
This function returns the standard deviation of 'Expression' as its result.
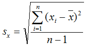
The standard deviation is calculated by the following formula:
Arguments
Give at least the following arguments.
|
Function |
StdDev |
|
Input (expression) |
Signal or expression for which to form the standard deviation |