z. B. StdDev('Expression')
Diese Funktion liefert als Ergebnis die Standardabweichung von 'Expression'.
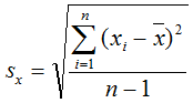
Die Berechnung der Standardabweichung erfolgt entsprechend der Formel:
Argumente
Geben Sie mindestens folgende Argumente an.
|
Funktion |
StdDev |
|
Eingang (Expression) |
Signal oder Ausdruck, für den die Standardabweichung gebildet wird |